以下は、ここをクリックした先の問題の解答です。
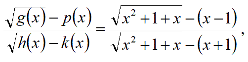
【問1】以下の、無理関数の分数式の変換公式を証明せよ。
ある定数Cで結ばれる、
という式の関係がある場合に、
その式に関係する以下の式(左辺の分数式)が、
右辺の分数式と等しい事を示せ。
【問2】以下の式が成り立つ事を示せ。
【問3】以下の式が成り立つ事を示せ。
【問4】以下の式が成り立つ事を示せ。
【問4b】以下の式が成り立つ事を示せ。
【問4c】以下の式が成り立つ事を示せ。

【問5】以下の式が成り立つ事を示せ。
ただし、x≧1とする。

【問6】以下の式が成り立つ事を示せ。
ただし、x≧1とする。
【問7】以下の式が成り立つ事を示せ。
【問1】以下の、無理関数の分数式の変換公式を証明せよ。
ある定数Cで結ばれる、
という式の関係がある場合に、
その式に関係する以下の式(左辺の分数式)が、
右辺の分数式と等しい事を示せ。
【問1の解答】
となる。
∴
が成り立つ。
(解答おわり)
【問2】以下の式が成り立つ事を示せ。
【問2の解答】
と置くと、
問1の関係で、C=1の場合の関係が成り立っている。
よって、
が成り立つ。
(解答おわり)
【問3】以下の式が成り立つ事を示せ。
【問3の解答】
と置くと、
問1の関係で、C=-3の場合の関係が成り立っている。
よって、
が成り立つ。
(解答おわり)
問1の式は、公式として覚えてください。
式の変形の過程で以上の形の式が出てきたら、すぐ、このように式を変形できるように式の変形のコツを覚えておいてください。
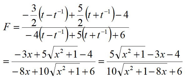
【問4】以下の式が成り立つ事を示せ。
【問4の解答(その1)】
と置く。
ただし、t>0とする。
すると:
が成り立つ。
これらの式を使って以下の様に計算する。
(解答(その1)おわり)
【問4の解答(その2)】


(解答(その2)おわり)
【問4b】以下の式が成り立つ事を示せ。
【問4bの解答】
(解答おわり)
【問4c】以下の式が成り立つ事を示せ。

【問4cの解答】

(解答おわり)
【問5】以下の式が成り立つ事を示せ。
ただし、x≧1とする。

【問5の解答】
と置く。
ただし、t≧1とする。
すると:
が成り立つ。
これらの式を使って以下の様に計算する。
(解答おわり)
【問6】以下の式が成り立つ事を示せ。
ただし、x≧1とする。
【問6の解答】
と置く。
ただし、t≧1とする。
すると:
が成り立つ。
これらの式を使って以下の様に計算する。
上式の形を成り立たせる係数A,B,C,Dを求める。
この係数を代入して計算を続ける。
(解答おわり)
【問7】以下の式が成り立つ事を示せ。
【問7の解答】
と置く。
ただし、t>0とする。
すると:
が成り立つ。
これらの式を使って以下の様に計算する。
上式の形を成り立たせる係数A,B,C,Dを求める。
この係数を代入して計算を続ける。
(解答おわり)
リンク:
高校数学の目次
【問1】以下の、無理関数の分数式の変換公式を証明せよ。
ある定数Cで結ばれる、
という式の関係がある場合に、
その式に関係する以下の式(左辺の分数式)が、
右辺の分数式と等しい事を示せ。
【問2】以下の式が成り立つ事を示せ。
【問3】以下の式が成り立つ事を示せ。
【問4】以下の式が成り立つ事を示せ。
【問4b】以下の式が成り立つ事を示せ。
【問4c】以下の式が成り立つ事を示せ。
【問5】以下の式が成り立つ事を示せ。
ただし、x≧1とする。
【問6】以下の式が成り立つ事を示せ。
ただし、x≧1とする。
【問7】以下の式が成り立つ事を示せ。
【問1】以下の、無理関数の分数式の変換公式を証明せよ。
ある定数Cで結ばれる、
という式の関係がある場合に、
その式に関係する以下の式(左辺の分数式)が、
右辺の分数式と等しい事を示せ。
【問1の解答】
となる。
∴
が成り立つ。
(解答おわり)
【問2】以下の式が成り立つ事を示せ。
【問2の解答】
と置くと、
問1の関係で、C=1の場合の関係が成り立っている。
よって、
が成り立つ。
(解答おわり)
【問3】以下の式が成り立つ事を示せ。
【問3の解答】
と置くと、
問1の関係で、C=-3の場合の関係が成り立っている。
よって、
(解答おわり)
問1の式は、公式として覚えてください。
式の変形の過程で以上の形の式が出てきたら、すぐ、このように式を変形できるように式の変形のコツを覚えておいてください。
【問4】以下の式が成り立つ事を示せ。
【問4の解答(その1)】
ただし、t>0とする。
すると:
が成り立つ。
これらの式を使って以下の様に計算する。
(解答(その1)おわり)
【問4の解答(その2)】
(解答(その2)おわり)
【問4b】以下の式が成り立つ事を示せ。
【問4bの解答】
(解答おわり)
【問4c】以下の式が成り立つ事を示せ。
【問4cの解答】
(解答おわり)
【問5】以下の式が成り立つ事を示せ。
ただし、x≧1とする。
【問5の解答】
ただし、t≧1とする。
すると:
これらの式を使って以下の様に計算する。
【問6】以下の式が成り立つ事を示せ。
ただし、x≧1とする。
【問6の解答】
と置く。
ただし、t≧1とする。
すると:
が成り立つ。
これらの式を使って以下の様に計算する。
この係数を代入して計算を続ける。
(解答おわり)
【問7】以下の式が成り立つ事を示せ。
【問7の解答】
ただし、t>0とする。
すると:
これらの式を使って以下の様に計算する。
この係数を代入して計算を続ける。
リンク:
高校数学の目次