以下は、ここをクリックした先の問題の解答です。
【問1】(難問)
上の図のような、角C直角で頂角Aが36°の直角三角形ABCの斜辺ABの長さが1の場合に、辺ACの長さを求めなさい。
《解答手順》
図形問題では、先ず、足りない図形の補助線を埋め込み、同じ角度には同じ印を付け、なるべく対称な形に、図形を完成させる。その次に問題の解き方を考えるように心がけてください。
【解答】
まず、以下の様に、36°の頂角Aを頂角にする二等辺三角形ABDを考えます。
上図のように、二等辺三角形BDEを考えると、その頂角∠DBE=36°になります。
そのため、
△ABD∽△BDE
です。
また、∠ABE=36°=∠BAE
ですので、
△EABは二等辺三角形になり、
AE=EB
です。
また、
EB=DB=y
です。
そのため、以下の図の式1と式2が得られます。
式2のように、yからxが計算できます。
そのため、yの式1を解けば良いことがわかります。
(解答おわり)
リンク:
中学数学の目次
以下は、ここをクリックした先の問題の解答です。
【問1】(難問)
上の図のような、円に内接する四角形ABCDにおいて、
AB=BC=3、
CD=5、
DA=8
のとき,∠ A の大きさを求めなさい。
《解答手順》
図形問題では、先ず、足りない図形の補助線を埋め込み、同じ角度には同じ印を付け、なるべく対称な形に、図形を完成させる。その次に問題の解き方を考えるように心がけてください。
【解答】
まず、以下の様に、同じ角度に印を付けます。
そして、同じ角度の図形を重ねて、図形をほぼ対称な形に完成させてから解きます。
ここまで書いたら、三角形ABEが正三角形になっています。
そのため、
∠A=60°
です。
(解答おわり)
リンク:
中学数学の目次
以下は、ここをクリックした先の問題の解答です。
【問1】
上図の三角形ABCの高さhを辺の長さa,b,cを使ってあらわす式を求めよ。
【解答】
以下の計算によって、先ず、a1を計算する。
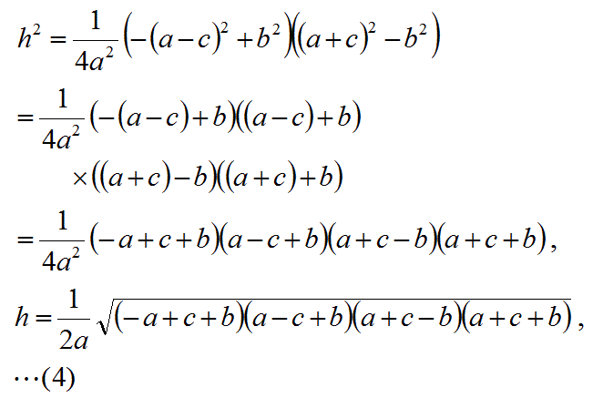
次に、以下のようにhの二乗を計算する。
この式3を高さの公式としておぼえておくと便利です。
ただし、hの式3は、以下の様に3通りにあらわすことができます。
すなわち、三角形ABCの面積Sが、
S=ah/2
であり、そのSのあらわし方が以下の通り3つあると考えられます。
面積Sの3つのあらわしかたの1つの式3cを使って、
hを式3’cであらわすことができます。
(以下では、式2から別の分岐に進む計算をします)
式2は以下の因数分解ができ、以下の高さの公式4が得られます。
(解答おわり)
リンク:
中学数学の目次
以下は、ここをクリックした先の問題の解答です。
【問1】(これも難問だと思う)
上図の三角形ABCがある場合に、その三角形ABCを底面とする四面体で、下図のように、直方体の角Hの断片の四面体HABCを作る展開図の直角三角形の頂点H,H’,H’’を作図せよ。
【解答】
(1)図のように、辺BCを中心にして三角形BHCを回転させて真上(ABCの面に垂直な方向)から見ると、点HはBCに垂直な直線上を動くように見える。
ここで、三角形BHCは、頂角Hを直角とする直角三角形なので、辺BCを軸にして回転させると、下図のように辺BCを直径とし点Lを中心とする円L上の点Hを頂角とする直角三角形BCHに重なる。
(2)同様にして、辺ABを中心軸にして直角三角形ABHを回転させて平面ABC上に展開すると下図のように、辺ABを直径とし点Nを中心とする円N上の点H’’を頂角とする直角三角形ABH’’に重なる。
この図で、
円Lの半径=LH=LBであり、
円Nの半径=NH’’=NBであるので、
三角形NLHは三角形NLBと3辺の長さが同じで合同である。
三角形NLHを直線NLを中心軸にして回転させると、下図のように点Hが回転して点Bに重なる。
面ABCの真上から見ると、三角形NLHを直線NLを中心軸にして回転させる場合に点Hが、直線NLに垂直で点Bを通る直線上を動くように見える。
直線NLは三角形ABCの中線なので、辺ACに平行である。
それゆえ、点Hは辺ACに垂直で点Bを通る直線上を動くように見える。
(3)同様にして、点Hを別の直線を軸にして回転させて真上から見ると、以下の展開図のようになる。
三角形NMHを、直線NMを中心軸にして回転させると、点Hは回転して点Aに重なる。
真上から見ると、点Hは辺BCに平行な直線NMに垂直で点Aを通る直線AH上を動くように見える。
(4)三角形MLHを、直線MLを中心軸にして回転させると、点Hは回転して点Cに重なる。
真上から見ると、点Hは辺ABに平行な直線MLに垂直で点Cを通る直線CH’’上を動くように見える。
(5)以上の結果を整理すると、点Hの位置を真上から見ると、三角形ABCの垂心O上にあるように見える。
(6)三角形ABCの垂心O上にある点Hを含む三角形ABHを辺ABを中心軸にして回転させて点Hを回転させると、真上から見ると、点Hは辺ABに垂直な直線H’’C上を動いて円N上の点H’’に重なる。
(7)辺BCを中心にして三角形BHCを回転させて真上から見ると、点Hは辺BCに垂直な直線HA上を動いて点Hに重なる。
(8)辺CAを中心にして三角形ACHを回転させて真上から見ると、点Hは辺CAに垂直な直線H’’B上を動いて点H’に重なる。
(9)そのため、求める作図は、下図のようにABを直径とする円Nを描き、BCを直径とする円Lを描き、CAを直径とする円Mを描いて、三角形ABCの各頂点から対向する辺に垂直な直線を描いて作図する。
(解答おわり)
(補足)
展開図の直角三角形ABH’’の頂点H’’と直角三角形BCHの頂点Hと直角三角形CAH’の頂点Hが三角錐HABCの頂点Hに重なるので、
それによって、
AH’=AH’’
BH’’=BH
CH=CH’
が成り立つ。
この問題を、上の3つの等式が成り立つことを証明する問題とした場合は、この展開図が三角錐HABCの展開図であることを証明することを介して証明すると良いと考える。
(補足2)
BH’’=BH
を以下の計算により証明する。
先ず、BH=xと置いて、
xを計算する。
a1を、以下の計算で求める。
以下の計算によって、a1が計算できる。
この結果を、xの二乗を与える式に代入する。
同様にして、yの二乗を計算する。
これにより、
y=BH’’=BH=x
が証明できた。
(補足3)
y=xは、以下のようにして図形的に証明できる。
以上をまとめると:
よって、y=x
である。
(証明おわり)
リンク:
中学数学の目次
以下は、ここをクリックした先の問題の解答です。
【問1】
上図のように、直方体ABCD-EFGHがある。
AB=1
BC=2
AE=1
とする。
第1の平面αと第2の平面βの成す角度を、両平面の交線上の点Oから、交線に対して垂直に両平面に引いた直線の間の角度であると定義する。そして、平面α側の直線が平面β側の直線に対する傾きを、平面αの平面βに対する傾きであると定義する。
図の平面EBDの、水平面ABCDに対する傾きを求めよ。
(解答の方針)
(1)立体図形は、平面図形の問題に変換して解く。
(2)平面αと平面βの交線OPに対して垂直な平面γを考える。その平面γは平面α及び平面βに垂直である。平面γと平面α及び平面βとの交線を考える。その2つの交線の間の角度が、平面αと平面βの成す角度であり、その角度が交線同士の傾き=平面αの平面βに対する傾きを与える。
【解答】
この立体問題を簡単な形の、平面に変換して解きます。
(1)上図のように、水平面ABCDと面EBDとの交線はBDです。
(2)次に、水平面ABCDに垂直な面で、交線BDに垂直な直線ALを含む第2の面ALKEを考える。
(3)第2の面ALKEは、その面上の2つの直線ALとAEとが交線BDに垂直なので、交線に垂直な面である。また、第2の面ALKEは長方形である。
(4)第2の面ALKEは、 面EBDと直線EPで交差する。
(5)直線EPの水平線APに対する傾きが、求めるべき、平面EBDの水平面ABCDに対する傾きである。
(6)以上の考察で、解答の道筋が分かったので、次に、詳しい計算を開始する。
上図で、線分の長さを①、②、③の順に計算した。
よって、
平面EBDの水平面ABCDに対する傾き=直線EPの水平線APに対する傾き:
が求められた。
(解答おわり)
リンク:
中学数学の目次
以下は、ここをクリックした先の問題の解答です。
【問1】
上図のように、直方体ABCD-EFGHがある。頂点Fから面EBGにひいた垂線の長さを求めよ。
(解答の方針)
(1)立体図形は、平面図形の問題に変換して解く。
(2)第1の面への垂線を求める問題は、第1の面上の1本の直線に垂直な第2の面を考える。その第2の面上の直線で、第1の面に垂直な直線が求める垂線である。
【解答1】
この立体問題を簡単な形の、2つの平行する面に変換して解きます。
(1)上図のように、平行する面EFGHと面ABCDを考える。
それら2つの面と面EBGとの交線は直線EGと、それに平行な直線E’G’です。
(2)次に、面EFGHと面EBGとが共有する1本の直線EGに垂直で、点Fを含む第2の面PFBQを考える。
(3)第2の面PFBQは面EFGH上の直線EGに垂直なので面EFGHに垂直である。また、面EBG上の直線EGに垂直なので面EBGに垂直である。
(4)そのため、上図の第2の面PFBQと面EBGが共有する直線RBに垂直な直線FSが求める垂線である。
その垂線の長さFSが求める長さです。
以下でその長さを計算する。
先ず、RFの長さを計算する。
次に、以下の図の面PFBQでRBの長さを計算した上で、FSの長さを計算する。
こうして求める垂線の長さFSが
で求められた。
(解答おわり)
【第2の解答】高校2年生レベル
中学数学の範囲をこえるが、
下図の様に、面EBGに垂直なベクトルh(面の法線ベクトル)を使って垂線の長さを求める。
この係数b,e,cを以下のように計算して求める。
(補足1)
この法線ベクトルhの計算は、(長さの違う法線ベクトルですが)以下の様に考えた方が計算の見通しが良いと考える。
この様に、面の法線ベクトルの各成分は、面の座標軸との交点の座標の逆数で計算できる。
(補足1おわり)
(補足2)
補足1と同じ長さの法線ベクトルについては、3次元の平面の式から、以下の計算によって、すぐに求められる。
点Aを原点にした、平面EBGの3次元の平面の式は、点Bと点Eを通ることを利用すれば、点Gにかかわる未知の係数bを使って、以下の式であらわせる。

上の計算のように、この面が点Gを通ることを代入すると未知の係数bが-3であることが求められる。こうして面BEGをあらわす式の全ての係数が求められた。その面の式の係数が作るベクトルが法線ベクトルhになるのである。
(補足2おわり)
式5であらわした長さの法線ベクトルの長さhを求める。
①:点Dと面ACHがベクトルABに平行なベクトルで隔てられ、
②:面ACHと面EBGが同じベクトルABに平行なベクトルで隔てられ、
③:面EBGと点Fが同じベクトルABに平行なベクトルで隔てられているのでそれぞれの間隔が同じである。
よって、求める垂線の長さは、ベクトルDFを法線ベクトルhに射影した長さの3分の1である。
そのため、法線ベクトルhをその長さhで割り算して単位ベクトルにした法線ベクトルとベクトルDFの内積の3分の1を計算する事で垂線の長さを計算する。
ベクトルDFは以下の式7であらわせる。
この長さが頂点Fから面EBGにひいた垂線の長さである。
(解答おわり)
【第2の解答の別解(途中から)】
垂線の長さは、単位ベクトルにした法線ベクトルとベクトルEFの内積を計算する事で求められる。
よって、式6の後は、以下の計算をすることで垂線の長さが求められる。
(解答おわり)
リンク:
中学数学の目次
高校数学の目次